Soal Pangkat dan Akar Kelas 9
Semoga pola Soal Pangkat dan Akar lengkap dengan kunci balasan dan pembahasan ini, bermanfaat untuk adik-adik khususnya yang sudah kelas 9 SMP (SMP/ SLTP/MTs) dan dapat dijadikan tumpuan belajar. Meskipun sudah tersedia kunci balasan dan pembahasan, ada baiknya kalian mengerjakan soal-soal ini secara berdikari lalu cocokkan balasan kalian dengan kunci balasan yang sudah tersedia. Ok, selamat mengerjakan ....a. 1/8
b. 1/4
c. 8
d. 4
2. Bentuk sederhana dari √300 adalah....
a. 10√3
b. 20√3
c. 30√3
d. 40√3
3. 2-2 + 3-3 + 1-4 = ....
a. 1 6/54
b. 1 6/108
c. 1 31/54
d. 1 31/108
4. Hasil dari (1/3)3 x 243 ∶ 1/92 =....
a. 36
b. 35
c. 34
d. 33
5. Hasil dari (9x-2 y3 z-4 )2 adalah....
6. Nilai dari (√32)1/5 adalah....
a. 5
b. 4
c. 3
d. 2
7. Susunan bilangan ∛125, 5√243, ∜16 dari kecil ke besar adalah....
a. ∛125, 5√243, ∜16
b. ∛125, ∜16, 5√243
c. ∜16, 5√243, ∛125
d. ∜16, ∛125, 5√243
8. Bentuk baku dari 23.080.000 adalah....
a. 2,308 x 108
b. 2,308 x 107
c. 2,38 x 108
d. 2,38 x 107
9. Bentuk sederhana dari
adalah....a.. ab2c5
b. a2b5c2
c. ab5c2
d. a2b2c5
10. Hasil dari √175+4√7-√63 adalah....
a. 6√7
b. 5√7
c. 4√7
d. 3√7
11. Bentuk sederhana dari
adalah....a. 1/3√3 + 2/3√6
b. 1/3√1 + 2/3√3
c. 1/3 √6 + 2/3√3
d. 1/3√3 + 2/3√1
12. Jika 39-3x = 27, maka nilai x yang memenuhi adalah....
a. 2
b. 3
c. 4
d. 5
13. Jika 3-x+2 = 1/81, maka nilai x yang memenuhi adalah....
a. -2
b. -6
c. 2
d. 6
14. Diketahui a =2√3+ √5 dan b =3√5- √3. Nilai ab= ....
a. 5√15+9
b. 5√15+21
c. 5√15-9
d. 5√15-21
15. Bentuk sederhana
adalah....a. 1/3 (√6+√15)
b. 1/3 (√6-√15)
c. -1/3 (√6+√15)
d. -1/3 (√6-√15)
16. Diketahui p x (3√2-√6) = 12. Nilai p yang memenuhi adalah....
a. 3√6+√2
b. 3√6-√2
c. 3√2+√6
d. 3√2-√6
17. Tentukan luas sebuah persegi kalau diketahui panjang sisinya (3√6-2) cm.
a. 58 + 12√6
b. 58 - 12√6
c. 58 + 6√6
d. 58 - 12√6
18. Sebuah belah ketupat mempunyai panjang diagonal (3√5)cm dan(2√5)cm. Luas belah ketupat tersebut adalah....
a. 12 cm2
b. 13 cm2
c. 14 cm2
d. 15 cm2
19. Panjang rusuk suatu kubus (3+4√2) cm, volume kubus tersebut adalah....cm3.
a. 315 + 236√2
b. 236 + 315√2
c. 315 - 236√2
d. 236 - 315√2
20.
Panjang AC adalah...
a. 3-√2
b. 3+√2
c. 15-6√2
d. 15+6√2
Berikut ini file Soal Pangkat dan Akar, Soal Matematika SMP Kelas 9 lengkap kunci balasan dan pembahasan yang dapat adik-adik download.
Soal Pangkat dan Akar Kelas 9 SMP plus Kunci Jawaban dan Pembahasan
Kunci Jawaban dan Pembahasan
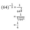
Pembahasan Soal Nomor 1Jawaban : b
Pembahasan Soal Nomor 2
√300 = √100.3
= 10√3
Jawaban : a
Pembahasan Soal Nomor 3
Jawaban : d
Pembahasan Soal Nomor 4
Jawaban : a
Pembahasan Soal Nomor 5
Pembahasan Soal Nomor 6
(√32)1/5 = 5√321 = 2
Jawaban : d
Pembahasan Soal Nomor 7
∛125 = 5
5√243 = 3
∜16 = 2
Makara susunan bilangan dari terkecil yakni ∜16, 5√243, ∛125
Jawaban : c
Pembahasan Soal Nomor 8
23.080.000 = 2,308 x 107
Jawaban : b
Pembahasan Soal Nomor 9
Jawaban : a
Pembahasan Soal Nomor 10
√175+4√7-√63 = √25.7 + 4√7 -√9.7
= 5√7 + 4√7 - 3√7
= 6√7
Jawaban : a
= 5√7 + 4√7 - 3√7
= 6√7
Jawaban : a
Pembahasan Soal Nomor 11
Pembahasan Soal Nomor 12
39-3x = 27
9 - 3x = 3
-3x = -6
x = -6/-3
x = 2
Jawaban : a
Pembahasan Soal Nomor 13
3-x+2 = 1/81
3-x+2 = 1/34
3-x+2 = 3-4
-x + 2 = -4
-x = -6
x = 6
Jawaban : d
Pembahasan Soal Nomor 14
Ab = ....
(2√3+ √5)(3√5- √3) = 6√15-2.3 + 3.5-√15
= 6√15-6 + 15-√15
= 5√15 + 9
Jawaban : a
Pembahasan Soal Nomor 15
Jawaban : a
Pembahasan Soal Nomor 16
Pembahasan Soal Nomor 16
Jawaban : c
Pembahasan Soal Nomor 17
Pembahasan Soal Nomor 17
Luas persegi = s x s
= (3√6-2) x (3√6-2)
= 54 - 6√6- 6√6 + 4
= 58 - 12√6
Jawaban : b
= (3√6-2) x (3√6-2)
= 54 - 6√6- 6√6 + 4
= 58 - 12√6
Jawaban : b
Pembahasan Soal Nomor 18
Luas belah ketupat = 1/2 x d1 x d2
Luas belah ketupat = 1/2 x d1 x d2
= 1/2 x 3√5 x 2√5
= 1/2 x (6.5)
= 1/2 x 30
= 15 cm2
= 1/2 x (6.5)
= 1/2 x 30
= 15 cm2
Jawaban : d
Pembahasan Soal Nomor 19
Volume kubus = s x s x s
= (3+4√2) x (3+4√2) x (3+4√2)
= {(3+4√2) x (3+4√2)} x (3+4√2)
= {9 + 12√2 + 12√2 + 32} x (3+4√2)
= {41 + 24√2} x (3+4√2)
= 123 + 164√2 + 72√2) + 192
= 315 + 236√2
Jawaban : a
Pembahasan Soal Nomor 19
Volume kubus = s x s x s
= (3+4√2) x (3+4√2) x (3+4√2)
= {(3+4√2) x (3+4√2)} x (3+4√2)
= {9 + 12√2 + 12√2 + 32} x (3+4√2)
= {41 + 24√2} x (3+4√2)
= 123 + 164√2 + 72√2) + 192
= 315 + 236√2
Jawaban : a
Pembahasan Soal Nomor 20
Panjang AC yakni ....
AC2 = AB2 + BC2
AC2 = (2-2√2)2 + (1+√2)2
AC2 = {(2-2√2)(2-2√2)} + {(1+√2) (1+√2)}
AC2 = {4-4√2 -4√2 +8 } + {1+ 1√2 + 1√2 + 2}
AC2 = {12-8√2} + {3+2√2}
AC2 = 15-6√2
Jawaban : c
Itulah Contoh Soal Pangkat dan Akar Kelas 9 SMP plus Kunci Jawaban yang dapat saya bagikan. Semoga bermanfaat.
Panjang AC yakni ....
AC2 = AB2 + BC2
AC2 = (2-2√2)2 + (1+√2)2
AC2 = {(2-2√2)(2-2√2)} + {(1+√2) (1+√2)}
AC2 = {4-4√2 -4√2 +8 } + {1+ 1√2 + 1√2 + 2}
AC2 = {12-8√2} + {3+2√2}
AC2 = 15-6√2
Jawaban : c
Itulah Contoh Soal Pangkat dan Akar Kelas 9 SMP plus Kunci Jawaban yang dapat saya bagikan. Semoga bermanfaat.











Tidak ada komentar:
Posting Komentar